Professor He Zhenhong and Professor Yang Yunkai of our college led Huang Yifei, a 2025 undergraduate student, to write a paper titled "Differential Emotional Responses and Relief Mechanisms Across Social Exclusion Roles", which was published in the veteran journal Cognitive, Affective, and Neuroscience Behavioral Neuroscience reception. The study focuses on a practical and critical question: Why are people who are excluded more likely to reject others later? Starting from the theory of emotion regulation and vicarious aggression, the team proposed that "role switching may bring emotional relief", and revealed the neurodynamic mechanisms behind it through behavioral and electroencephalogram (EEG) evidence. The results show that when individuals switch from the perspective of "excluded" to "rejected", negative emotions will decrease more significantly; This remission is accompanied by systematic modulation of late LPP and is associated with a stronger motivation for revenge.
1. Research background
Social exclusion is no stranger in real life: being left out, ignored, and marginalized can trigger significant painful experiences and be associated with psychological distress such as loneliness, depression, and anxiety. Existing studies have fully proved that "exclusion" can bring strong negative emotions, but there is still a lack of an integrated framework that can explain the emotional differences of different social roles (bystanders, excluded, and excluded) at the same time, and further explain why "excluded people turn to exclude others". In response to this gap, this study proposes that role switching may not just be a natural fading of emotions, but may be an active psychological process - by allowing individuals to move from a passive and powerless state to a more active role, so as to achieve partial repair of emotions, but at the same time may also activate a stronger motivation for revenge.
2. Research methods
In order to systematically answer the above questions, three interconnected studies were designed. Study 1 Behavioral experiments were used to establish an emotional baseline map of three social exclusion roles, and the subjects were substituted as bystanders, rejected and rejected in the same type of exclusion scene, and their subjective negative emotional levels were compared. Study 2 further introduced the perspective switching paradigm and EEG recordings, and divided the subjects into switching groups and non-switching groups: the switching group first substituted the rejected person in the same scene, and then switched to the rejected person. The non-switching group maintained the excluded perspective for both views, thereby controlling for habituation or natural attenuation caused by repeated viewing. Study 2 not only compared the subjective mood changes between the two groups, but also focused on testing late positive wave (LPP), a neural indicator closely related to sustained emotional meaning processing, and using multivariate pattern analysis (MVPA) to capture the systematic changes in brain representation with perspective conversion at the full-channel pattern level. Study 3 further examines the relationship between emotional relief and revenge motivation at the behavioral level to clarify the possible motivational costs behind emotional relief.
3. Research results
The results show that there are clear hierarchical differences in emotional responses under different social roles: in the exclusion scenario, the excluded person experiences the strongest negative emotion; Bystanders will also have significant negative reactions; The negative emotions of rejection are relatively low, but it does not mean that there is no burden, suggesting that rejection may be accompanied by certain psychological costs. More importantly, Study 2 found that the decline in negative emotions in the switch group after switching from "excluded" to "rejected" was significantly greater than that in the non-switching group, which supports that "emotional relief brought about by role change" is not a simple repeated exposure effect, but is related to role meaning reconstruction.

At the neural level, EEG results further reveal the kinetic characteristics of this remission: using differential waves as an indicator, the switching group showed more significant LPP modulation in the frontal, central and parietal regions, especially in the late time window related to sustained emotional meaning processing, and showed a more significant decrease in late LPP activity from the first to the second viewing. Importantly, there was no significant difference between the two groups at the first view, suggesting that the key difference came from "change across viewing" rather than a baseline difference in initial emotional responses.

Consistent with the univariate ERP results, MVPA showed that the switching group could show significantly higher pattern discrimination than the chance level in multiple time periods, and showed a more stable discriminant structure in temporal generalization analysis, suggesting that perspective switching not only changed the subjective experience, but also reshaped the brain's overall processing mode of the same social exclusion situation.

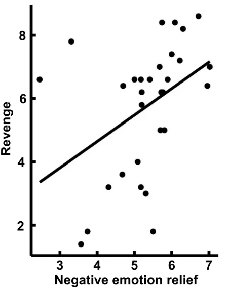
Study 3 further found that emotional relief brought about by perspective switching was significantly positively correlated with revenge motivation: the stronger the individual's reported relief, the higher the subsequent revenge motivation. This means that the role transition from victim to perpetrator may provide individuals with a psychological path to quickly escape from distress—alleviating social distress by restoring agency, but this relief may come at the expense of stronger aggressive motivations, making rejection more likely to be perpetuated and propagated in the chain of interaction.

4. Research conclusions and significance
The conclusion and significance of this study is that this study provides convergent evidence from three levels: behavior, ERP and multivariate model, supporting a possible explanatory chain: the intense pain caused by social exclusion does not necessarily subside naturally, and when individuals are given the opportunity to switch roles from passive to active, emotions may indeed be relieved, and this relief can be characterized by late LPP decline and whole brain EEG pattern reconstruction at the neural level. But at the same time, emotional relief may be accompanied by a stronger motivation for revenge, thus providing a psychological mechanism explanation for the spread of rejection. The findings not only provide a more integrated role framework for understanding the emotional dynamics of social exclusion, but also provide implications for real-world interventions: to block the spread of exclusion in groups, in addition to focusing on the emotional comfort of the victim, it is also necessary to help individuals regain their sense of control and agency in a more constructive way, and avoid basing emotional repair on harming others.
5. Author contribution
The School of Psychology of Shenzhen University is the first unit to complete the paper, Huang Yifei, a graduate of the School of Psychology, is the first author, and Chen Baoxun, a master's student of the School of Psychology, is the co-first author. Assistant Professor He Zhenhong's research group is the corresponding author of the paper, and Assistant Professor He Zhenhong is the final author. Liang Guosong, an undergraduate student of the School of Psychology, also contributed to the research. The research was funded by the Shenzhen Outstanding Scientific and Technological Innovation Talent Training Project.